返回 通知公告
2020-04
13
《Science》重磅:新冠病毒主要蛋白酶的解析及抑制剂开发 发布时间:10:53 作者:管理员

  新型冠状病毒(COVID-19)肺炎疫情对世界人民造成了不可估量的影响。 目前,针对COVID-19,已经在临床上应用了瑞德西伟、羟氯喹等抗病毒药物,但世界各地的研究人员都仍在努力开发针对新型冠状病毒(SARS-CoV-2)的抑制剂。 


一、研究亮点 


  近日,来自德国吕贝克大学生物化学研究所RolfHilgenfeld团队用X射线以1.75埃分辨率解析了新冠病毒Mpro的晶体结构。新冠病毒中的主要蛋白酶(Mpro,又称为3CLpro)能够处理病毒中的多聚蛋白—病毒RNA在进入人类细胞后最初被翻译成这种多聚蛋白。蛋白酶从多聚蛋白中切割出12个更小的蛋白,而这些蛋白质将会参与病毒RNA的复制。因此冠状病毒的主要蛋白酶(Mpro,又称为3CLpro)是一个重要的潜在药物靶标,对抑制病毒的复制至关重要。此外,该研究探讨了一种α-酮酰胺抑制剂的抗SARA-CoV-2病毒作用。通过优化结构,研究人员将先导化合物开发成为SARS-CoV-2Mpro的有效抑制剂。优化抑制剂的药代动力学特征显示出明显的肺向性,并且适用于通过吸入途径给药。相关工作发表于Science上。

图1:参考文献1截图 


二、Idea的产生


这项研究的idea是基于他们之前的一项研究基础 ( J. Med. Chem., 2019, https://doi.org/10.1021/acs.jmedchem.9b01828 ),他们之前已经筛选出能够明显抑制MERS-CoV活性的先导化合物11r(EC50=0.4 nM)。因此,借东风而来,期望更上一层楼。 

 
尽管 11r 抑制 MERS-CoV 的效果已经很好了 ,但是,三个方面的不足促使去做进一步的结构优化:
1 、尽管基因高度相似,但病毒的种类已变化,一点微小的变化都会是成千上万人付出生命的代价;
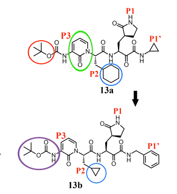
2 、由于分子内迈克 尔受体型酰胺键的影响,化合物 11r 的在血浆中易于被细胞蛋白酶裂解,半衰期降低,无法成药; 3 、由于肉桂酰基结构的疏水性和亲电作用强,化合物 11r 在血浆中的溶解度较小并与人血浆蛋白结合率较高(大于 90% )。 为解决以上问题,该研究团队首先将酰胺键隐藏在吡啶酮环中( 图 2 ,绿色圆圈部分 ),以期这可能会阻止细胞蛋白酶裂接近该键并使其裂解。 此外,为了增加化合物在血浆中的水溶性和减少脱靶,他们用疏水性较小的叔丁基羰基( Boc 基团)取代了疏水性强的的肉桂酰基部分之后( 红色圆圈部分 )得到了化合物 13a。 

图2:化合物的初步设计。图片来源:参考文献1


三、SARS-CoV-2 Mpro蛋白酶的解析 


那么,在化合物基团的改变后,是否仍然能够同SARS-CoV-2病毒的主要蛋白酶(Mpro)结合? 于是文章首先解析了SARS-CoV-2 Mpro的晶体结构(分辨率为1.75Å)(图3)。 结果很明显,SARS-CoV-2 Mpro的三维结构与SARS-CoV Mpro的三维结构高度相似,也 验证了之前的猜测。 相对于SARS-CoV Mpro, 在SARS-CoV-2 Mpro中观察到Thr285Ala置换后两个结构域III彼此更靠近。 此外,分析超速离心测定结果也表明两种酶的二聚体解离的估计Kd相同(大约2.5 μM)。 该结构域的解码为下一步抗冠状病毒药物的设计奠定了基础。 

图3:SARS-CoV-2 Mpro的晶体结构(分辨率为1.75Å)。图片来源:参考文献1


四、抑制剂的设计思路及药代动力学评价 


完成SARS-CoV-2 Mpro的晶体结构的解析后,该团队使用该晶体结构来对接α-酮酰胺13a 。 很遗憾的是文章没有给对接图,但文章给出的信息表明13a中吡啶酮环可能会挤压189位的残基Gln,但是他们在之前的研究就证明了这个位点的氨基酸特别柔性,对活性影响较小。 另外,与11r相比,该化合物在小鼠中的血浆半衰期增加了约3倍,体外动力学血浆溶解度提高了约19倍,热动力学溶解度约为13倍。 与小鼠血浆蛋白的结合率从99%降至97%。 以上对接及药物代谢动力学的结果让人感觉看到了一条康庄大道,但随之而来的SARS-CoV-2的主要蛋白酶抑制活性研究结果给人泼了一盆冷水。 然而,他们仔细分析了化合物13a失活的原因后,得出结论: 13a 中P2部分的环己基空间结构大,会对蛋白酶中的S2部分挤压,而且在此前的研究中引入环己基结构主要是为了广谱的抗病毒活性。 此外,不同种类病毒蛋白酶的S2部分对病毒的活性影响不一样。 接下来,该团队认为“鱼”和“熊掌”不可兼得,于是舍弃化合物的广谱抗病毒活性,专一针对SARS-CoV-2的活性抑制进行化合物的设计及优化。 因此,他们选择用空间位阻较小的环丙基取代了环丙基,得到化合物13b (图4)。 在这里笔者不禁有点疑惑,为什么选择了环丙基,而没有选择其他空间结构较小的基团,例如三氮唑或者更小的甲、乙及炔基等? 可能他们也做了很多的筛选和尝试,但文章只列了其最优的结果。 此外,P1,位置则由环丙基又换成了苯基,在这篇文章里,并没有给出具体的解释,但从他们之前的研究中,可以发现苯基相对于环丙基空间结构更大,更容易卡在蛋白酶的活性位点,起到稳定作用。 

图4:化合物的进一步优化。图片来源:参考文献1
 

接下来便是化合物13b同蛋白酶共结晶结果分析,结果表明经过一系列修饰后的化合物13b能够很好地结合病毒的蛋白酶活性位点(图5)。其中,通过催化Cys145对抑制剂的α酮基的亲核攻击,在可逆反应中形成了硫代半缩醛。该硫代半缩醛的氧阴离子(或羟基)同His41形成稳定的的氢键,而且酰胺上的氧则同Gly143,Cys145和部分Ser144的形成氢键。α-酮酰胺的优势在于它们可以通过两个氢键相互作用与目标蛋白酶的催化中心发生相互作用,而不是像其他结构(例如醛)或迈克尔受体那样只有一个作用位点。另外,P1位置的γ-内酰胺部分则能深深地嵌入病毒主要蛋白酶的S1口袋中,而且内酰胺上的氮能同残基Phe140,Ser1和Glu166形成氢键,而羰基氧与His163形成氢键。P2处的环丙基甲基部分恰好嵌入S2亚位点,并且不会挤压S2区域,从而克服了13a上环己基结构的缺点。P3-P2位置上的吡啶酮占据了病毒主要蛋白酶的主要活性区域,其酰胺上的氧能同Glu166形成氢键,而氮则被封住,不能同Gln189形成氢键。P3上的Boc基团则不占据蛋白酶的S4位点(与SARS-CoV Mpro复合的其他抑制剂的保护基团相反),但位于Pro168附近,从而挤压Pro168,使其向外移动超过2Å(与游离酶的结构相比)。这也解释了为什么化合物14b去除Boc基团后,抑制能力降低约2倍。有趣的是,化合物13b的吡啶酮环和残基Thr190和Gln189之间还有较大的空间间隙,表明这个位置还可以接受比吡啶酮更大体积的基团。这是不是也为接下来的研究者指明了下一步结构优化的方向?当然,我们也可以利用现在强大的虚拟数据库设计出更加新颖的结构。

图5:化合物13b同SARS-CoV-2蛋白酶 (Mpro) 共结晶图。图片来源:参考文献1
 
接下来的细胞实验结果表明化合物13b能够抑制纯化的重组SARS-CoV-2 Mpro(IC50 = 0.67±0.18 μM)。在新型冠状病毒SARS-CoV-2感染的人源Calu3细胞中,病毒的RNA复制也被明显的抑制(EC50=4-5μM)。然而,缺少Boc基团的化合物14b几乎没有活性(图6),这又是为什么呢?究其原因可能是具有疏水性和大体积的Boc基团的化合物13b容易渗透细胞膜,但是从前面的研究也可以看出并不是疏水性越强越好,疏水性太强会导致化合物同人血浆蛋白率结合过高。其实我们可以考虑用其他的基团取代,例如直接叔丁基或者苄基等等。另一个问题是疏水性和亲水性在药物的设计中往往是非常重要的考虑因素,会影响药物在人体内的吸收、分布、代谢及排泄,是不是又要开始摸头发了。

图6:13b和14b的结构及其抗SARS-CoV-2病毒活性结果。图片来源:参考文献1
 

最后,药物代谢动力学研究结果表明化合物13b在小鼠和人微粒体的代谢稳定性良好,在血浆中的平均停留时间延长至2.7 h,血浆半衰期明显增加至1.8 h,与人血浆蛋白结合率降低至90%且在血浆中清除的速度较慢。更重要的是,对于肺部吸入给药,小鼠未显示任何不良反应,这表明将化合物13b可直接施用于肺部。


七、总结


目前世界新冠肺炎疫情愈发严重,全球新冠确诊人数接近150万,死亡人数接近9万[3],而且还在急剧的攀升中。 尽管以前也发生过SARS和MERS,但是世界暂时仍然没有治疗SAS-Cov-2的有效手段。 然而,新冠病毒主要蛋白酶(Mpro,又称为3CLpro)的晶体结构解码及新的抑制剂开发则为目前全球肆掠的SAS-Cov-2甚至未来可能的冠状病毒药物研发提供了可能的策略和方向。 此外,这篇文章的工作首先是值得肯定的,但是这也只是简单的结构优化,有很多细节也还没有考虑到,距离开发成能临床应用的抗新型冠状病毒药物还为时尚早。 冬天走了,春天还会远吗? 

 

文献来源

[1] Zhang linlin etal., Crystal structure of SARS-CoV-2 main protease provides a basis for design ofimproved α-ketoamide inhibitors. Science. 2020, DOI:10.1126/science.abb3405

[2] Zhanglinlin et al., α-Ketoamidesas broad-Spectrum inhibitors of coronavirus and enterovirus replication: structure-Baseddesign, Synthesis, and activity assessment. 2020, DOI:10.1021/acs.jmedchem.9b01828

[3] WHO官网

来源:药渡 https://news.pharmacodia.com/news/html/info/info-detail.html?id=40429